Niedziela, 12 kwiecień 2026
Imieniny: Juliusz, Damian, Zdzisława

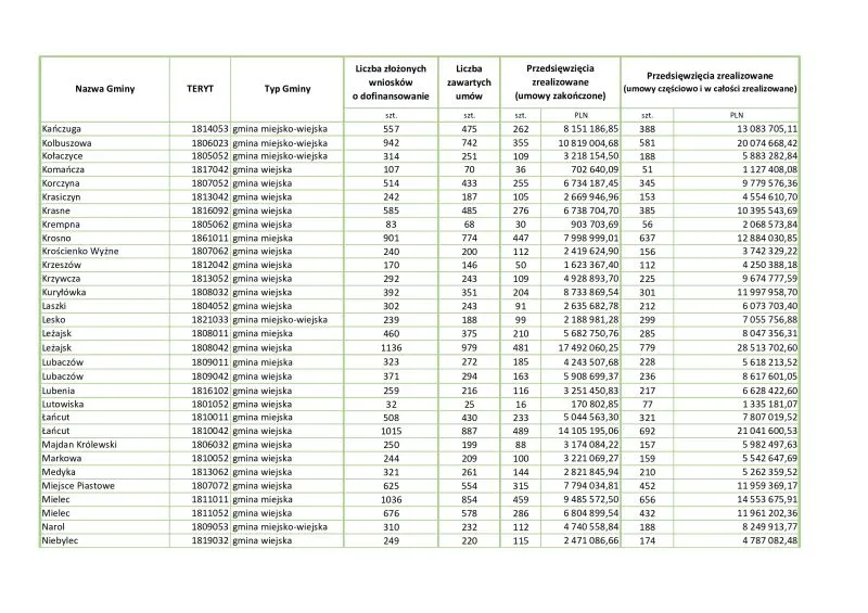
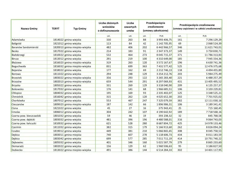
Gmina Kołaczyce

Oficjalny portal informacyjny

Wróć na stronę główną

UM PP CZYSTE POWIETRZE